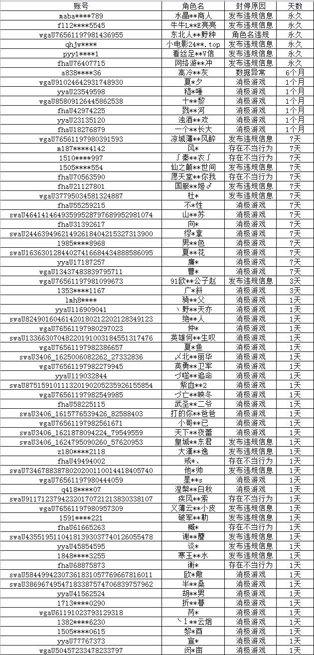
【铁甲雄兵】7月5日封停公告
尊敬的君主们:
为保证游戏的公平与公正,运营团队会在及时对辅助、外挂打击之外,针对游戏过程中存在消极游戏、恶意参于爵位赛的角色也将进行惩罚,惩罚名单会定期在社区发布近期封停名单公告。
惩罚规则目前仍在不断完善中,我们将进一步维护游戏正常秩序,消极游戏、挂机、逃跑等恶意或不当行为都会导致账号的封停。
一直以来,我们对外挂采取“零容忍”态度。随着大量君主的加入,游戏的环境及秩序也面临更大的挑战。针对近期极个别用户持续使用非法软件,恶意破坏游戏环境及执行,我们将加重惩罚力度,包括但不限于:长期或永久封停、清除相关数据及关联收益;对于从事相应开发、销售及协助宣传非法软件人员,我们已启动相关行动,将通过法律手段维护广大君主的合法权益及游戏秩序。
对于近期恶意诋毁、破坏游戏秩序的角色,我们也将调整策略,逐步加强限制及惩罚措施。
以下为本次公布的封停名单:

